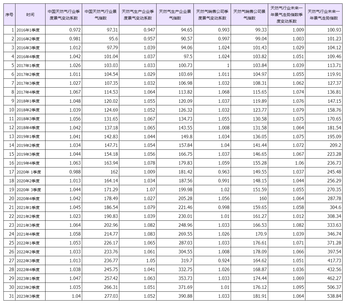
中國天然氣行業景氣指數統計結果顯示:2023年3季度中國天然氣行業景氣指數為277.03,比2023年2季度增長4.0%,短期內天然氣行業景氣狀態比較穩定,中長期仍然處于很景氣狀態;2023年3季度天然氣生產企業景氣指數為390.88,比2023年2季度增長5.2%,短期內天然氣生產企業景氣狀態持續提升,中長期處于很景氣狀態;2023年3季度天然氣銷售公司景氣指數為181.91,比2023年2季度增長3.3%,短期內天然氣銷售公司景氣狀態有所回升,中長期仍然處于景氣狀態;2023年3季度天然氣行業未來一年景氣走勢指數為538.84,比2023年2季度增長6.4%,處于很景氣狀態,表明行業專家對天然氣行業未來一年景氣走勢持續穩定看好。詳見圖1及表1。

一、中國天然氣行業景氣指數分析
2023年3季度中國天然氣行業景氣指數為277.03,處于很景氣狀態。本季度與2023年2季度相比有小幅上升,景氣變動系數為1.040。在評價天然氣行業景氣狀態的五大指標中,宏觀經濟指標出現微幅上升,天然氣進口狀態指標、天然氣銷售公司經營狀態指標、天然氣行業專家判斷指標出現小幅上升,天然氣生產企業經營狀態指標出現一定幅度上升。總體來看,2023年3季度中國天然氣行業景氣指數呈現上升態勢。詳見圖2及表1。

二、天然氣生產企業景氣指數分析
2023年3季度國內天然氣生產企業運營狀況有所改善,天然氣生產企業景氣指數為390.88,處于很景氣狀態。本季度與2023年2季度相比出現一定幅度上升,景氣變動系數為1.052。其中價格變化、就業人員、員工收入較上季度有微幅上升,投資水平、產能利用、產能變化、經營狀況較上季度有小幅上升,企業產量較上季度有較大幅度上升。詳見圖3及表1。

三、天然氣銷售公司景氣指數分析
2023年3季度天然氣銷售公司景氣指數為181.91,處于景氣狀態。本季度與2023年2季度相比有小幅上升,景氣變動系數為1.033。其中,供求狀態較上季度有微幅下降,就業人員、價格變化較上季度微幅上升,員工收入、經營狀況較上季度有小幅上升,產品銷量較上季度有一定幅度上升。詳見圖4及表1。

四、天然氣行業未來一年景氣走勢指數分析
2023年3季度統計的天然氣行業未來一年景氣走勢指數為538.84,預計未來一年天然氣行業處于很景氣狀態。本季度與2023年2季度的預測值506.37相比,有較大幅度上升,景氣變動系數為1.064。其中,天然氣行業專家、天然氣生產企業相關專家及天然氣銷售公司相關專家對天然氣行業未來一年景氣走勢判斷均持樂觀態度。詳見圖5及表1。


中國能源指數研究中心
2023.10.18